@
Согласно школьному курсу математики под n - угольником понимают n - звенную
замкнутую ломаную либо часть плоскости, ограниченной такой ломаной. Вершины
и звенья ломаной называют соответственно вершинами и сторонами многоугольника.
Для определенности в дальнейшем мы будем рассматривать многоугольник как
часть плоскости.
|
Многоугольник (и вообще
любую фигуру) называют выпуклым, если для любых его двух точек отрезок
с концами в этих точках полностью принадлежит многоугольнику (фигуре).
В частности, треугольник и круг – выпуклые фигуры, а граница треугольника
(трехзвенная замкнутая ломаная) и окружность – невыпуклые фигуры.
Многоугольник является выпуклым тогда и только тогда, когда все его внутренние углы меньше 180° (см. рисунок). Выпуклый многоугольник всегда расположен в одной полуплоскости относительно каждой прямой, проходящей через его сторону. Имеются полезные утверждения, которые справедливы для многоугольников независимо от того, выпуклы они или нет: |
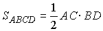
3. Если
и
– длины
диагоналей четырехугольника, а a
– угол между прямыми, проходящими через эти диагонали, то площадь четырехугольника
равна
.
4. Если прямые, содержащие
диагонали четырехугольника, перпендикулярны, то суммы квадратов его противоположных
сторон равны.
Попробуйте доказать первое из этих утверждений хотя бы для невыпуклых 4- и 5- угольников, второе – для любых многоугольников, третье – для невыпуклого четырехугольника, а четвертое – для любого четырехугольника.
Пример 6.8.1.
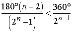
Внутренние углы многоугольника образуют геометрическую прогрессию
Определить наибольшее возможное число диагоналей такого многоугольника.
В таком n - угольнике
сумма внутренних углов равна 180°
(n - 2), а с другой стороны, как
сумма членов геометрической прогрессии равна
.
Откуда находим
.
Так как наибольший угол
должен быть меньше 180°
, то имеем
.
Приходим к неравенству
,
которое после преобразований принимает вид
Замечаем, что при n і 6
имеем
,
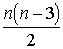
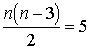
а значит, n Ј 5.
Легко проверить, что n
= 5 соответствует условию (существует пятиугольник, у которого a°
= (540/31)° ). При n = 5 находим количество диагоналей
.
Ответ: 5.
@
Интересным и полезным является следующее соображение: четырехугольник,
вершины которого являются серединами сторон данного четырехугольника, будет
параллелограммом с площадью вдвое меньшей площади данного четырехугольника.
|
Действительно, независимо от того, выпуклый или невыпуклый данный четырехугольник
ABCD (см. рисунок), KL и NM – средние линии треугольников ABC и ADC, а
значит, они равны половине АС и параллельны прямой АС. Откуда следует,
что KLMN – параллелограмм.
Аналогично можно показать, что KN = LM = 1/2 BD, KN ззBD и LM ззBD. Площадь параллелограмма равна произведению длин его сторон на синус угла между ними, т.е. Учитывая, что KL = 1/2 AC, KN = 1/2 BD и sin РLKN = sin РAOB (углы LKN и AOB являются углами с взаимно параллельными сторонами), получаем , |
Пример 6.8.2. (КубГУ, эконом., 1994 г.)
Отрезки, соединяющие середины противоположных сторон выпуклого четырехугольника равны 4 см и 6 см, одна из его диагоналей равна 8 см. Вычислить площадь четырехугольника.
|
Пусть KN = 4,
LN = 6 и AC = 8. Тогда Ясно, что площадь параллелограмма KLMN в четыре раза больше площади треугольника KOL (покажите самостоятельно!), а площадь четырехугольника ABCD ввиду ранее отмеченного вдвое больше площади параллелограмма KLMN, т.е. |
,
и поэтому Теперь приведем пример решения задачи с использованием утверждения 4 в начале этого параграфа.
Пример 6.8.3.
Сторона AB четырехугольника
ABCD равна 9, другие
стороны тоже измеряются натуральными числами. Найти остальные стороны четырехугольника,
если известно, что его диагонали AC
и BD перпендикулярны и
– простое число.
Так как диагонали перпендикулярны, то согласно утверждению 4 имеем
(это равенство получите самостоятельно по теореме Пифагора независимо от
того, выпуклый или невыпуклый четырехугольник ABCD).
Откуда следует
– простое число. Это возможно лишь в случае, когда AB - BC = 1,
AB + BC = p, AD - CD = 1 и AD
+ CD = p. Учитывая, что AB = 9, находим BC = 8 и p
= 17, а значит, AD = 9 и CD = 8.
Ответ: AD = 9 , BC = CD = 8.
@ Для решения задач на многоугольники полезно выучить и уметь объяснять следующие простейшие соотношения, многие из которых мы уже ранее использовали.
|
AB ззCD
и AB = CD; AO = OC
и O – центр симметрии;
DABC = DCDA и DAOB = DCOD; = AB Ч AD Ч sin РBAD = |
Если РBAD
= 90°, то ABCD – прямоугольник и
.
Если AB = AD и РBAD = 90°, то ABCD – квадрат и обладает всеми свойствами ромба и прямоугольника.
|
Здесь AD > BC и AD, BC – основания, AD ззBC
и AB ззCD ,
KL – средняя линия и |
Если AP и BP – биссектрисы углов A и B, то РAPB = 90° и точка P лежит на прямой KL (см. рассуждения ниже в начале решения примера 6.8.4).
Если AB
= CD, то ABCD – равнобедренная трапеция
и
, а
если к тому же AC ^BD,
то
.
|
@
Все стороны равны и все углы равны; можно вписать и описать окружности,
причем их центры совпадают (точка O).
Если R и r – соответственно радиусы вписанной и описанной окружности, то |
Пример 6.8.4. (КубГУ, физич., 1993 г.)
В параллелограмме со сторонами a и b и углом a проведены биссектрисы четырех углов. Найти площадь четырехугольника, ограниченного биссектрисами.
![]() |
Сначала рассмотрим некоторую конфигурацию, состоящую из прямых (см. рисунок),
на которой BP ззAT, BT
и AP – биссектрисы углов ABP
и BAT, К
– точка пересечения этих биссектрис.
Так как РBAP = РPAT и РPAT = РBAP (внутренние накрест лежащие углы), то DABP – равнобедренный и AP = BP. |
В частности, прямая, проходящая через К параллельно АТ, делит любой отрезок, заключенный между прямыми АТ и ВP, пополам.
Заметим, что для решения задачи мы могли обойтись без этой конфигурации и выбрать путь полегче. Однако проведенные рассуждения полезны тем, что объясняют одно из ранее указанных простейших свойств трапеции.
Теперь перейдем к решению задачи. Тривиальные ситуации, когда все биссектрисы
пересекутся в одной точке либо две точки пересечения биссектрис лежат на
сторонах параллелограмма, исключим из рассмотрения. Возможны две ситуации
(см. рисунок).
|
Для определенности положим AB = a, BC = b ( b > a),
РBAD = a.
Из ранее рассмотренной конфигурации прямых для наших рисунков можем сделать
следующие выводы: AB = BP = AT = a и аналогично CQ = CD = DR
= a, AP ^BT
и аналогично CR ^DQ,
т.е. KLMN – прямоугольник и |

Для верхнего рисунка имеем KL = KP - PL = BP cos РBPA - QP cosРLPQ =
.
Ответ:
.
Теперь приведем одну задачу о правильных многоугольниках, уже не раз встречавшуюся на устных и письменных экзаменах по математике в КубГУ.
Пример 6.8.5.
В круг радиуса R вписан правильный n - угольник, в этот n - угольник вписан другой круг, в который опять вписан другой правильный n - угольник и так до бесконечности. Найти сумму площадей всех указанных n - угольников.
Заметим, что каждый последующий
многоугольник подобен предыдущему с коэффициентом подобия
,
где R и r – соответственно
радиусы описанной и вписанной окружностей в предыдущий многоугольник.
Откуда, ввиду
(см. формулы для правильного n - угольника), находим коэффициент
подобия
.
Тогда, если
– площади первого, второго, ... многоугольников, то
Найдем сумму членов этой прогрессии
.
Ответ:
.
По видимому, наиболее часто встречающимся многоугольником в заданиях вступительных
экзаменов является трапеция. Сначала приведем одну известную задачу из
золотого фонда геометрии о трапеции.
Пример 6.8.6.
Доказать, что прямая, проходящая через точку пересечения продолжений боковых сторон трапеции и через точку пересечения ее диагоналей, делит каждое основание этой трапеции пополам.
|
Положим BM = x и CM = y. Из параллельности прямых AD
и BC легко получаем подобные
треугольники. DBKM
подобен DAKN
и DCKM
подобен DDKN
с одним и тем же коэффициентом подобия Далее, DBOC подобен DDOA с коэффициентом подобия .
Но DBOM
подобен DDON
и DBOC
подобен DDOA
с одним и тем же коэффициентом подобия |
@
При решении задач на трапецию, в которых идет речь об ее диагоналях, иногда
помогает следующее дополнительное построение.
|
Достроим к трапеции ABCD параллелограмм BCMD (см. рисунок). Тогда треугольник ACM имеет боковые стороны, равные диагоналям трапеции; основание, равное сумме оснований трапеции; угол при вершине, равный углу между диагоналями трапеции; площадь, равную площади трапеции. |
Пример 6.8.7.
Один из углов между диагоналями трапеции равен 120°. Найти площадь трапеции, если одна из ее диагоналей равна 14 см, а средняя линия 13 см.
|
ABCD – трапеция,
О – точка пересечения ее диагоналей, AC = 14. Так как По условию a
= 120°
или a = 60°
, т.е. |
Дискриминант уравнения равен
,
откуда находим
.
Так как x > 0, то
и
(MC = 16 соответствует a
= 120°
и MC = 30 соответствует a
= 60°).
Учитывая, что
,
находим
,
т.е. либо
(см
),
либо
(см
).
Ответ:
см
или
см
.