Окружность называется вписанной в многоугольник, если она касается каждой из его сторон. Ясно, что если в многоугольник можно вписать окружность, то он является выпуклым. Имеют место следующие утверждения:
1. Если в многоугольник можно вписать окружность, то его площадь равна p Чr, где p – полупериметр многоугольника, а r – радиус вписанной окружности.
2. В многоугольник можно вписать окружность тогда и только тогда, когда он выпуклый и биссектрисы всех его внутренних углов пересекаются в одной и той же точке (в центре вписанной окружности).
3. В четырехугольник можно вписать окружность тогда и только тогда, когда он выпуклый и суммы его противоположных сторон равны.
Каждое из этих утверждений желательно уметь доказывать. Попробуйте это сделать самостоятельно. Возможно Вам помогут следующие простейшие утверждения: а) точка, расположенная на биссектрисе угла, равноудалена от его сторон; б) луч, выходящий из вершины угла и проходящий через центр вписанной окружности, – биссектриса этого угла; в) два отрезка касательных из внешней точки к окружности равны.
Пример 6.9.1.
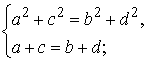
В четырехугольник с перпендикулярными диагоналями можно вписать окружность. Показать, что хотя бы одна из диагоналей делит его на два равных треугольника.
Пусть a, b, c и d – длины последовательных сторон четырехугольника. Так как диагонали перпендикулярны и в него можно вписать окружность, то имеем систему
или 
Если a -b = d -c = 0, то имеем в четырехугольнике две пары равных смежных сторон.
Если же a -b
№ 0,
то из системы
находим a = d и b = c, т.е. опять находим в четырехугольнике две пары равных смежных сторон. Диагональ четырехугольника, проходящая через вершины, из которых выходят равные стороны, разделит этот четырехугольник на два равных по третьему признаку треугольника.
Пример 6.9.2. (КубГУ, географ., 1987 г.)
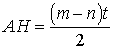
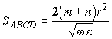
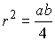
Около круга радиуса r описана равнобедренная трапеция, основания которой относятся как m : n. Вычислить площадь трапеции.
|
Для определенности положим AD = mt и BC = nt (учли, что основания
относятся как m : n). Так как в трапецию можно вписать окружность,
то AB + CD = AD + BC и ввиду AB = CD, находим
Далее, замечая, что AH = MD, |
Откуда по теореме Пифагора для треугольника ABH находим высоту трапеции
.С другой стороны, BH =
KL = 2 ЧOL
= 2r, а значит,
и
.
И наконец, в силу
,
имеем
.
Заметим, что по умолчанию в ходе решения мы положили m > n, т.к. по рисунку AD > BC. Но, как видно из полученного ответа, и при m < n получим такую же формулу для площади трапеции.
Ответ:
.
@
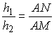
Полезно знать свойство описанной трапеции.
Если отрезки боковой стороны, на которые ее разбивает точка касания, равны
x и y, то
,
где r – радиус окружности, вписанной в трапецию, в частности, если трапеция
равнобедренная с основаниями a и b, то
(докажите самостоятельно, используя свойство описанного многоугольника
и метрические соотношения в прямоугольном треугольнике).
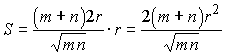
Тогда пример 6.9.2. можно решить проще.
AD = mt, BC
= nt, тогда, используя свойство AD
+ BC = AB + CD, получим p = (m + n)t,
,
откуда
.
Зная, что S = pr,
получим
.
@
Многоугольники, в которые можно вписать окружность, коротко называют описанными
многоугольниками. Аналогично вписанный многоугольник – это такой
многоугольник, около которого можно описать окружность, т.е. для которого
найдется окружность, проходящая через все его вершины. Так как всякий вписанный
угол меньше 360°,
то все внутренние углы вписанного многоугольника меньше 360°
и он поэтому обязательно является выпуклым многоугольником. Имеется ряд
полезных утверждений, дающих условия, при которых через данные точки плоскости
(например, являющихся вершинами многоугольника) можно провести окружность:
4. Через n точек плоскости можно провести окружность тогда и только тогда, когда в плоскости найдется точка О, равноудаленная от всех этих точек (тогда О – центр окружности).
5. Около многоугольника можно описать окружность тогда и только тогда, когда серединные перпендикуляры ко всем его сторонам пересекаются в одной и той же точке О (тогда О – центр описанной окружности).
6. Через четыре точки A, B, C и D данной плоскости можно провести окружность тогда и только тогда, когда они не лежат на одной прямой и sin РABC = sin РADC; в частности, около четырехугольника можно описать окружность в том и только в том случае, когда сумма каких-то двух его противоположных углов (а значит, и двух других) равна 180°.
7. Через четыре точки A, B, C и D, для которых лучи AB и CD пересекаются в точке Е, можно провести окружность тогда и только тогда, когда AE ЧBE = CE ЧDE.
Доказательство утверждений 4 и 5 непосредственно получается из определения окружности и того, что серединный перпендикуляр к отрезку – геометрическое место точек, равноудаленных от концов отрезка. Для утверждений 6 и 7 в одну сторону, когда A, B, C и D лежат на окружности, выполнимость условий, сформулированных в этих утверждениях, доказывается достаточно просто (для утверждения 6 углы ABC и ADC либо равны либо в сумме дают 180°, а для утверждения 7 рассуждения подобны некоторым рассуждениям в примере 6.7.6). Попробуйте доказать самостоятельно в другую сторону каждое из утверждений 6 и 7.
Пример 6.9.3.
В четырехугольнике измерили стороны и одну диагональ, а затем их длины
записали по убыванию и получили 7 см,
см, 4 см, 2 см, 2 см. Около всякого ли такого четырехугольника
можно описать окружность?
Согласно неравенству треугольника (сумма меньших сторон больше большей
стороны) из отрезков с данными в условии длинами мы можем собрать только
три различных треугольника со сторонами 2; 4;
или 2;
;
7 или 4;
;
7.
|
Но только из первых двух таких треугольников мы можем собрать четырехугольник
(с диагональю Этот четырехугольник будет выпуклым и , ,
а значит, РA + РC = 180° и около четырехугольника согласно утверждению 6 можно описать окружность. |
Пример 6.9.4.
Лучи AB и CD пересекаются в точке Е, где В и D лежат на отрезках АЕ и СЕ соответственно, а лучи AD и CB пересекаются в точке F. Найти отношение площадей треугольников ABF и CDF, если AB = 4, BE = 2, CD = 1 и DE = 3.
По рисунку замечаем, что
AE = 4 + 2 = 6 и Ce = 1 + 3 = 4, т.е. AE ЧBE
= 6 Ч2
=12 и CE ЧDE
= 4 Ч3
= 12. Поэтому, согласно утверждению 7 приходим к выводу, что через
точки A, B, C и D
можно провести окружность.
|
Откуда получаем
РBAF
= РDCF
(опираются на одну дугу) и РAFB
= РCFD
(вертикальные), т.е. треугольники CDF
и ABF подобны с коэффициентом
подобия |
Пример 6.9.5. (КубГУ, ФПМ, 1975 г.)
Сторона правильного треугольника равна a. Определить площадь части
треугольника, лежащей вне круга радиуса
,
центр которого совпадает с центром треугольника.
|
Так как радиус вписанной окружности равен .
Радиус описанной окружности равен |
.
Треугольник OMN равнобедренный
и высота OK является медианой.
Тогда
,
.
То есть окружность делит каждую сторону треугольника на три равные части.
Тогда APOM – ромб со стороной
.
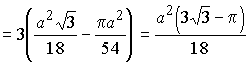
Искомая площадь треугольника вне круга состоит из трех равных частей. Площадь
одной части есть разность площади ромба и площади сектора с центральным
углом в 60°.
Sромба
,
Sсектора
.
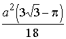
Тогда Sискомое =
3 (Sромба-Sсектора)
=
.
Ответ:
.
Пример 6.9.6.
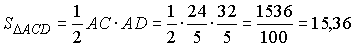
Две окружности радиуса 3 и 4 пересекаются в точках А и В. Расстояние между центрами окружностей равно 5. Через точку В проведена прямая, пересекающая окружность в точках С и D, отличных от точки В, причем В лежит между точками С и D и CD равно 8. Найти площадь треугольника ACD.
![]() |
Угол ACB вписанный, опирающийся на дугу AB, он равен половине центрального угла Аналогично |
.
.
Ответ: 15,36.
Пример 6.9.7.
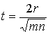
Продолжение общей хорды AB двух пересекающихся окружностей радиусов R и r пересекает их общую касательную в точке С (А лежит между В и С, M и N – точки касания). Найти: 1) радиус окружности, описанной около треугольника AMN; 2) отношение расстояний от точки С до прямых AM и AN.
![]() |
Пусть РAMC
= a
и РANC
= b,
тогда Из прямоугольных треугольников AN = 2r cos (90° - b) = 2r sin b. Пусть r – радиус искомой окружности, KN и MP – диаметры. Так как углы AMN и AKM – вписанные в эту окружность, опирающиеся на одну и ту же дугу AN, то РAKN = a и из прямоугольного треугольника ANK имеем |
,
откуда
С – внешняя точка
для окружности радиуса R,
тогда
,
но С – внешняя точка и для окружности радиуса r, тогда
.
Из этих соотношений заключаем, что С – середина отрезка MN.
Треугольники ACM и ACN
равновелики, т.к. имеют одинаковые основания и общую высоту. Пусть расстояние
от С до AM равно
,
от С до CN –
,
тогда
,
,
.
Ответ:
,
.