КВАДРАТИЧНАЯ ФУНКЦИЯ
|
Функция |
|
называется квадратичной функцией. |
|
Выделим полный квадрат |
|
||
|
|
|
|
|
|
|
|
|
|
|
|
|
|
|
корней нет |
|
|
Теорема Виета Для того чтобы числа x1, x2, были решениями уравнения ax2+bx+c=0 необходимо и достаточно, чтобы x1+x2=-b/a; x1x2=c/a. |
||
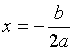
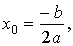
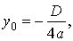
Графиком квадратичной функции является парабола получаемая из графика функции
y
= ax2 с помощью двух параллельных переносов:1) сдвига вдоль оси ОХ на
x0 единиц (вправо, если x0 > 0 и влево, если x0 < 0).2) сдвига вдоль оси ОY на
y0 единиц (вверх, если y0 > 0 и вниз, если y0 < 0).Точка с координатами (
x0; y0) называется вершиной параболы.|
|
|
|
|
D>0 |
|
|
|
D=0 |
|
|
|
D<0 |
|
|
При решении многих задач приходится использовать
утверждения о расположении корней квадратного трехчлена.