Содержание раздела Разобранные примеры Задачи для самостоятельного решения
Пример 1.

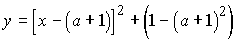
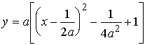
Найти все значения параметра a, при которых вершины двух парабол  и  лежат по разные стороны от прямой y=3/4.
 

Решение

Найдем координаты вершин. Ясно, что 

.

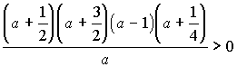
Вершины лежат по разные стороны от прямой y=3/4, если a удовлетворяет неравенству
 

.

Отсюда  

 

.

 

Ответ:
           Следовательно, условиям задачи удовлетворяют такие a: a>1; --1/4<a<0; -3/2<a<-1/2.

Содержание раздела Разобранные примеры Задачи для самостоятельного решения