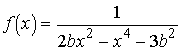
ЗАДАЧА№9
Найти наибольшее значение функции  на отрезке [-2;1] в зависимости от параметра b.

Ответ:
   при ;

   при .

Содержание раздела Разобранные примеры Задачи для самостоятельного решения