Содержание
раздела Разобранные
примеры Задачи
для самостоятельного решения
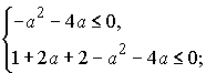
Пример 10. Найти все значения
параметра a, для которых
неравенство
выполнено
при всех x, удовлетворяющих
условию
.
Решение
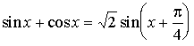
Применяя формулы приведения, получим
;
.
Так как
и при
,
, следовательно, sinx+cosx>0.
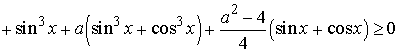
Так
как
, то
неравенство принимает вид
.
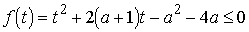
Пусть sin2x=t,
тогда при
,
,
.
Таким
образом, задача сводится к
нахождению значений a, при которых
квадратный трехчлен
для всех
. В силу утверждения 7
это будет выполняться, если

![]()

![]()
.
Ответ:
.
Содержание
раздела Разобранные
примеры Задачи
для самостоятельного решения