Ñîäåðæàíèå
ðàçäåëà
Óòâåðæäåíèÿ
Ðàçîáðàííûå
ïðèìåðû
Çàäà÷à1-6
Çàäà÷à7-15
Çàäà÷à15-24
Çàäà÷à24-34
Çàäà÷à34-42
| ÇÀÄÀ×À1 | |
| ÇÀÄÀ×À2 | |
| ÇÀÄÀ×À3 | |
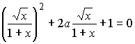
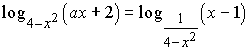
| ÇÀÄÀ×À4 |
![]() |
| ÇÀÄÀ×À5 | |
| ÇÀÄÀ×À6 | |
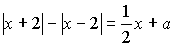
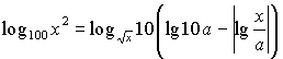
| ÇÀÄÀ×À7 |
![]() |
| ÇÀÄÀ×À8 | |
| ÇÀÄÀ×À9 | |
| ÇÀÄÀ×À10 | |
| ÇÀÄÀ×À11 | |
| ÇÀÄÀ×À12 | |
| ÇÀÄÀ×À13 | |
| ÇÀÄÀ×À14 | |
| ÇÀÄÀ×À15 | |
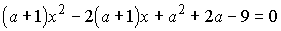
| ÇÀÄÀ×À16 | ![]() |
| ÇÀÄÀ×À17 | 6-3a+4ax=4a+12x |
| ÇÀÄÀ×À18 | |
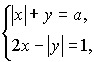
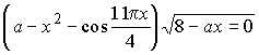
| ÇÀÄÀ×À19 | ![]() |
| ÇÀÄÀ×À20 | |
| ÇÀÄÀ×À21 | |
| ÇÀÄÀ×À22 | |
| ÇÀÄÀ×À23 | |
| ÇÀÄÀ×À24 | |
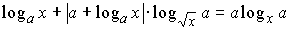
| ÇÀÄÀ×À25 | ![]() |
| ÇÀÄÀ×À26 | |
| ÇÀÄÀ×À27 | |
| ÇÀÄÀ×À28 | |
| ÇÀÄÀ×À29 | |
| ÇÀÄÀ×À30 | |
| ÇÀÄÀ×À31 | |
| ÇÀÄÀ×À32 | |
| ÇÀÄÀ×À33 | |
| ÇÀÄÀ×À34 | |
| ÇÀÄÀ×À35 | acos2x=b(cosx+sinx)(1-sin2x). |
| ÇÀÄÀ×À36 | |
| ÇÀÄÀ×À37 | |
| ÇÀÄÀ×À38 |
, |
| ÇÀÄÀ×À39 | |
| ÇÀÄÀ×À40 | sin4x=atgx. |
| ÇÀÄÀ×À41 | |
| ÇÀÄÀ×À42 |
|