Содержание
раздела Разобранные
примеры Задачи
для самостоятельного решения
Пример 11. Найти все значения параметра a, при которых неравенство выполняется при всех x
.
Решение
При cosx=0 получаем неравенство
.
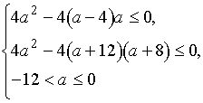
Его решения
дают ограничения на a:
.
При
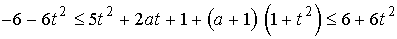
разделим
обе части неравенства на
и сделаем
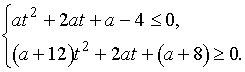
замену t=tgx, получим систему
Таким образом, чтобы исходное неравенство выполнялось при всех x, параметр a должен удовлетворять системе

![]()

![]()
Ответ:
.
Содержание
раздела Разобранные
примеры Задачи
для самостоятельного решения