Содержание
раздела Разобранные
примеры Задачи
для самостоятельного решения
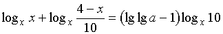
Пример 12. Решить уравнение
.
Решение
Ясно, что параметр a должен удовлетворять неравенству a>1.
Область допустимых значений определяется неравенствами

![]()
На ОДЗ исходное уравнение равносильно уравнению
,
откуда
.
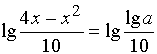
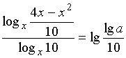
И после
перехода к десятичному логарифму
или
.
Дискриминант
последнего уравнения D=4(4-lga), таким образом,
при ![]()
и уравнение
имеет решения
,
.
при всех
входит в ОДЗ,
при
равен 1 и в ОДЗ не
входит.
Ответ:
при
,
при
.
Содержание
раздела Разобранные
примеры Задачи
для самостоятельного решения