Содержание раздела Разобранные примеры Задачи для самостоятельного решения

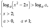
Пример 14.  Решить неравенство

.

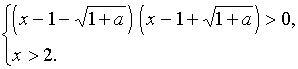
Решение

Неравенство эквивалентно системе

1) при ,

следовательно, 

Применим метод интервалов
 

 

при a>1;

при 0<a<1.

Ответ: при ;

при 0<a<1.

Содержание раздела Разобранные примеры Задачи для самостоятельного решения