Содержание
раздела Разобранные
примеры Задачи
для самостоятельного решения
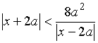
Пример 15. Для всех значений параметра a решить неравенство
.
Решение
Так как
для всех
, то имеем
или
.
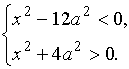
Это неравенство равносильно системе неравенств

Второе
неравенство верно при всех x.
Решая первое неравенство методом
интервалов с учетом того, что
, получим
а) при a>0
б) при a<0
в) при a=0
решений не имеет.
Ответ: при a>0
;
при a<0
;
при a=0 решений нет.
Содержание
раздела Разобранные
примеры Задачи
для самостоятельного решения