Содержание раздела Разобранные примеры Задачи для самостоятельного решения

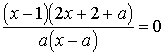
Пример 3.   Решить уравнение

. (3)
 

Решение

При a=0 уравнение (3) теряет смысл и, следовательно, не имеет корней.

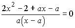
При  получим .

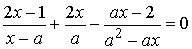
Корнями числителя будут  .

Исключим из этих значений те, при которых знаменатель равен нулю.

Если a=1, то 1-a=0 и корнем уравнения будет только x=-3/2 .

Если -1-a/2=a, т.е. a=-2/3, то уравнение(3) будет иметь корнем только x=1.

Ответ: 1) если a=-2/3, то x=1;

           2) если a=0, то корней нет;

           3) если a=1, то x=-3/2;

         4) если , то .
 

Содержание раздела Разобранные примеры Задачи для самостоятельного решения