Содержание раздела Разобранные примеры Задачи для самостоятельного решения

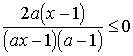
Пример 5. Решить неравенство

. (5)

Решение

При a=1 неравенство (5) теряет смысл и, следовательно, не имеет решений.

При  неравенство (5) равносильно неравенству

.

Контрольным значением параметра будет a=0. В этом случае неравенство (5) верно при любом .

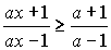
Если , неравенство (5) равносильно неравенству
 

.
Значение a=1 также контрольное.

1) Рассмотрим случай a>1. В этом случае a-1>0 и неравенство (5) равносильно неравенству .
Так как при a>1, 1/a<1, то решением неравенства (5) будет .

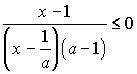
2) В случае a<1 неравенство (5) равносильно неравенству
 

 

.
 

 

Если 0<a<1, то  и решением неравенства (5) будет .

Если a<0, то  и решением неравенства (5) будет .

Ответ: 1) если , то ;

          2) если a=0, то ;

          3) если , то ;

         4) если a=1, то решений нет;

        5) если , то .

Содержание раздела Разобранные примеры Задачи для самостоятельного решения