Содержание
раздела Разобранные
примеры Задачи
для самостоятельного решения
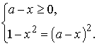
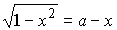
Пример 7. Решить уравнение
. (7)
Решение
Уравнение (7) равносильно следующей системе
После преобразований получим
(8)
Вычислим
дискриминант полученного
уравнения
.
Корни
уравнения ![]()
,
будут
контрольными значениями. Систему (8)
будем решать в каждом из следующих
случаев:
1)
; 2)
;
3 )
; 4)
.
1) Если
, то
дискриминант квадратного
уравнения в системе (8)
отрицательный и, следовательно,
уравнение (7) решений не имеет.
2) Если
, то
квадратное уравнение в системе (8)
будет иметь решение
, но это решение не
удовлетворяет условию
,
следовательно,
и в этом случае уравнение (7) решений
не имеет.
3) Если
, то
и условие
выполняется, следовательно, при
уравнение (7)
имеет решение
.
4) Если
, то
квадратное уравнение (8) будет иметь
два корня
,
.
Проверим,
при каких значениях параметра a
корень
удовлетворяет условию
. Рассмотрим
неравенство 
![]()
![]()
![]()
В результате
получаем, что решением
рассматриваемого неравенства
будут
.
Следовательно, при
значение
будет корнем
уравнения (7).
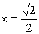
Проверим,
удовлетворяет ли условию
значение
. Рассмотрим
неравенство

![]()
![]()
![]()

![]()
.
Таким
образом,
– корень уравнения (7), если
параметр a удовлетворяет
условию
.
Ответ:
1) если
, то решений
нет;
2)
если
, то
;
3)
если
, то
два корня
,
.
4)
если
, то
.
Содержание
раздела Разобранные
примеры Задачи
для самостоятельного решения