Содержание раздела Разобранные примеры Задачи для самостоятельного решения

Пример 8. Найти все значения a, при которых квадратный трехчлен

(9)

положителен при любом x.

Решение

Приравняем к нулю коэффициент при . Найдем контрольные значения параметра a=1, a=-1.

При a=1 получаем , т.е. при любом значении x выражение положительно.

При a=-1 получаем -4x+2 – это выражение может принимать как положительные, так и отрицательные значения.

Если коэффициент при  положителен, то ветви параболы направлены вверх, если же коэффициент при  отрицателен, то ветви направлены вниз.

Поэтому рассмотрим два случая: когда  и когда .

При , т.е. -1<a<1 ветви параболы направлены вниз и независимо от знака дискриминанта квадратный трехчлен не может быть положительным при всех x.

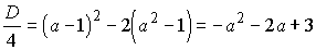
Если , т.е. , то ветви параболы направлены вверх и квадратный трехчлен будет положителен при всех x, если дискриминант отрицателен. Вычислим дискриминант квадратного трехчлена (9)
 

 

.

Решим неравенство  или ,
 

 

(a-1)(a+3)>0.

Таким образом, получаем, что при  дискриминант трехчлена (9) отрицателен и ветви параболы направлены вверх, т.е. квадратный трехчлен будет положителен при всех x.

Ответ:.

Содержание раздела Разобранные примеры Задачи для самостоятельного решения