Содержание
раздела Разобранные
примеры Задачи
для самостоятельного решения
Пример 9. При каких значениях a оба корня уравнения
(10)
принадлежат отрезку [0;3]?
Решение
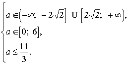
В силу утверждения 4, корни уравнения (10) будут принадлежать отрезку [0;3], если a будет удовлетворять системе
или 
![]()
.
Ответ:
.
Содержание
раздела Разобранные
примеры Задачи
для самостоятельного решения