ЗАДАЧА№10
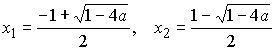
                      Для каждого значения параметра a решить уравнение

.


 


Ответ: при a>0  решений нет;

           при a=0  x=0 ;

           при a<0 .

Содержание разделаУтвержденияРазобранные примерыЗадачи для самостоятельного решения