ЗАДАЧА№15
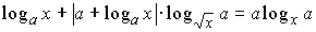
                     Для каждого значения параметра a определить число решений уравнения

.


 


Ответ: если 0<a<1, то два решения;

           если  или , то решений нет.

Содержание разделаУтвержденияРазобранные примерыЗадачи для самостоятельного решения