ЗАДАЧА№16
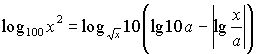
                    Найти все значения параметра a, при каждом из которых уравнение

имеет хотя бы одно решение.

Ответ:.

Содержание разделаУтвержденияРазобранные примерыЗадачи для самостоятельного решения