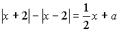
ЗАДАЧА№20
                     Найти все значения параметра a, при каждом из которых уравнение


 


имеет два различных корня.

Ответ: a=3 и a=-3.

Содержание разделаУтвержденияРазобранные примерыЗадачи для самостоятельного решения