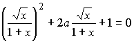
ЗАДАЧА№25
                      При каких значениях параметра a уравнение

имеет решение?

Ответ: .

Содержание разделаУтвержденияРазобранные примерыЗадачи для самостоятельного решения