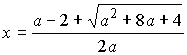
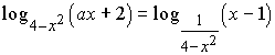
ЗАДАЧА№26
                      Решить уравнение

.


 


Ответ: при a=0 x=3/2;

           при ;

           при остальных a решений нет.

Содержание разделаУтвержденияРазобранные примерыЗадачи для самостоятельного решения