ЗАДАЧА№27
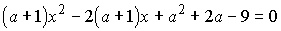
                     Сколько корней имеет уравнение


 


на промежутке [1;3)?

Ответ: при 

            уравнение имеет один корень на промежутке [1;3).

Содержание разделаУтвержденияРазобранные примерыЗадачи для самостоятельного решения