ЗАДАЧА№32
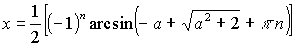
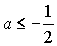
                     Установить при каких a уравнение


 


имеет решение, найти все решения.

Ответ:  при ;

            при ;

            при  -1/2<a<1/2  решений нет.

Содержание разделаУтвержденияРазобранные примерыЗадачи для самостоятельного решения