ЗАДАЧА№36
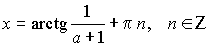
                       Для каждого значения параметра a решить уравнение

.


 



Ответ: если  a=-1,  то  решений нет;

           если ,  то ;

           если  a=1,  то  x – любое число, отличное  от .

Содержание разделаУтвержденияРазобранные примерыЗадачи для самостоятельного решения