ЗАДАЧА№37
                       Найти все значения параметра a, при каждом из которых уравнение


 



имеет единственное решение.

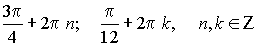
Ответ.

Содержание разделаУтвержденияРазобранные примерыЗадачи для самостоятельного решения