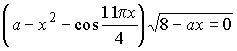
ЗАДАЧА№38
                      Найти все значения параметра a, при каждом из которых уравнение


 



на заданном отрезке имеет нечетное число различных корней.

Ответ

Содержание разделаУтвержденияРазобранные примерыЗадачи для самостоятельного решения