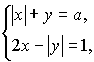
Найти все значения параметра a, для
каждого из которых числа x и y,
удовлетворяющие системе уравнений

удовлетворяют также неравенству x>y.
Ответ:
.
Содержание
раздела
Утверждения
Разобранные
примеры
Задачи
для самостоятельного решения