ЗАДАЧА№40
                      Решить уравнение
sin4x=atgx.




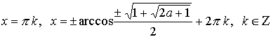
Ответ: при  a=-1/2 ;

           при  -1/2<a<0 ;

           при ;

           при  a<-1/2 и .

Содержание разделаУтвержденияРазобранные примерыЗадачи для самостоятельного решения