ЗАДАЧА№8
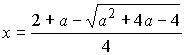
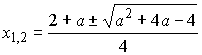
        Решить уравнение

.

Ответ: при  решений нет;

            при ;

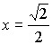
            при ;

            при a>1 .

Содержание разделаУтвержденияРазобранные примерыЗадачи для самостоятельного решения