3. Смешанные системы
Кроме рассмотренных ранее систем могут быть и такие, которые состоят из различных уравнений: иррациональных, показательных, логарифмических, содержащих неизвестные под знаком абсолютной величины и др. Такие системы будем называть смешанными. Значительная часть таких систем после элементарных преобразований и замены переменных сводится к системам, ранее рассмотренным нами в предыдущих разделах.
Рассмотрим некоторые примеры таких систем и краткие комментарии к их решениям.
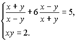
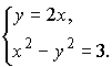
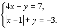
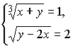
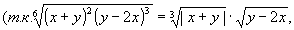
Пример
3.1. Решить систему уравнений|
|
Решение
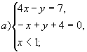
Из-за того, что второе уравнение содержит неизвестное под знаком абсолютной величины, необходимо рассмотреть два случая: а)
x-1<0 и|
b) |
|
Которые обязывают нас рассмотреть следующие две совокупности систем |
|||
|
|
|
||||
В силу простоты систем, укажем лишь на то, что первая система не имеет решения (не выполняется требование
x<1), а решением второй системы является x= 1, y= -3.Ответ: (1; -3).
Замечание. Решать эту систему можно было бы подстановкой
y= 4x-7 (из первого уравнения системы) во второе уравнение (либо сложить оба уравнения), что привело бы к необходимости решать следующее уравнение|x-1|+4x= 4
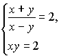
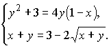
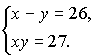
и т.д.Пример 3.2
. Решить систему уравнений|
|
Решение
|
Положим во втором уравнении |
|
Тогда второе уравнение системы можно записать так |
u2+2u-3= 0
,его корни
u1= 1, u2= -3. Но второй корень отпадает в силу требования неотрицательности новой переменной. Теперь приходим к решению следующей системы|
|
Решением этой системы являются следующие пары:
x1= 0, y1= 1 и x2= 2, y2= -1, удовлетворяющие и исходной системе уравнений.Ответ: (0;1), (2; -1).
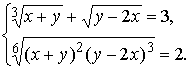
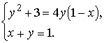
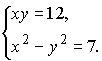
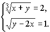
Пример 3.3
. Решить систему уравнений|
|
Решение
|
Полагая |
|
|
получим следующую систему |
|
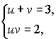
|
|||
решением которой являются
u1= 1, v1= 2; u2= 2, v2= 1. Тогда для исходной системы необходимо рассмотреть следующую совокупность систем уравнений|
|
и |
|
В силу простоты этих систем (обычное возведение в нужную степень и алгебраическое сложение) решения их приведем в соответствующей последовательности ответа.
|
Ответ: |
|
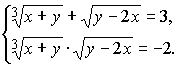
Замечание
. Обращаем внимание на типичную ошибку, которую допускают часто при решении аналогичных систем:|
|
либо |
|
|
(что может быть верным лишь при неотрицательных значениях
a, b, x). В силу этого замечания к рассмотренному примеру 3.3 нельзя относить полностью следующую систему уравнений|
|
В ней, конечно, содержится и система 3.3, но кроме нее необходимо рассмотреть еще одну систему
|
|
а пример 3.3 предполагал только |
||
|
Случай |
|
а случай x+y< 0 требует отдельного рассмотрения: |
|
|
|
|||
Следуя идее решения системы 3.3, получим следующее решение последней системы
|
|
|
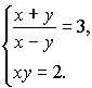
Пример 3.4
. Решить систему уравнений|
|
Решение
После элементарных преобразований первого уравнения системы
(с использованием второго уравнения) приходим к следующей системе
|
|
||
|
Непосредственной подстановкой |
|
(из первого уравнения системы) |
во второе уравнение системы получаем уравнение
x4-5x2-144= 0,|
у которого только два действительных корня x1= 4, x2= -4 |
||||
|
а соответствующие им значения |
|
Находятся из соотношения |
|
|
|
Ответ: |
|
|||
Пример 3.5.
Решить систему уравнений|
|
Решение
|
Обозначим |
|
Тогда первое уравнение системы можно записать так |
||||
|
t2-5t+6= 0, а его корни |
|
и |
|
позволяют исходную систему уравнений заменить |
||
следующей совокупностью систем
|
|
И |
|
Решение этих систем не вызывает затруднений.
|
Ответ: |
|
Пример 3.6
. Решить систему уравнений|
|
Решение
Воспользовавшись особенностью решения иррациональных кубических уравнений (см. “Иррациональные уравнения”) и вторым уравнением системы, после возведения в куб обеих частей первого уравнения получаем следующую систему уравнений
|
|
Решения ее очевидны.
|
Ответ: |
|
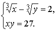
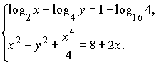
Пример 3.7.
Решить систему уравнений|
|
Решение
|
Учитывая естественные ограничения |
|
, можно применить либо метод |
предварительного логарифмирования (второго уравнения системы по основанию x или по основанию 4) и алгебраического сложения
Уравнений, либо метод подстановки (выразить из второго уравнения, например, y=16/x и подставить его в первое уравнение системы), приводящие к следующему уравнению относительно новой переменной
t= log4x 6t2-t-12= 0,|
Корнями которого являются |
|
, |
|
|||
|
Возвращаясь к прежним неизвестным, имеем соответственно |
||||||
|
|
|
|
|
|||
Проверкой убеждаемся, что все найденные значения неизвестных удовлетворяют каждому уравнению исходной системы.
|
Ответ: |
|
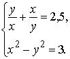
Пример 3.8
. Решить систему уравнений|
|
Решение
После очевидных преобразований (при условии
x не равен 0, y не равен 0, x-y>0,x+y>0) получим. Следующую систему уравнений|
|
Введем новую переменную
t=x/y, относительно которой первое уравнение перепишется в виде 2t2-5t+2= 0.|
Корни этого уравнения t1= 2, t2=1/2 Позволяют перейти к решению следующей совокупности систем |
|||||
|
|
и |
|
|||
|
Решения первой системы следующие |
|
, |
|
||
|
, а вторая система решений не имеет. |
|||||
Однако отрицательные значения неизвестных не удовлетворяют исходным ограничениям.
Ответ: (
2;1)
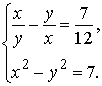
Пример 3.9.
Решить систему уравнений|
|
Решение
При условии, что
x> 0,y> 0, первое уравнение можно переписать в более простом виде log2x-0,5log2y=0,5 или y=(x2)/2Используя этот факт, второе уравнение существенно упрощается x
2-2x-8= 0, а его корни x1= 4, x2= -2 (отпадает в силу ограничения). Соответствующее значение y=8 находится из y= (x2)/2.Ответ: (4;8).
____________________________________________________________________________________________________________________