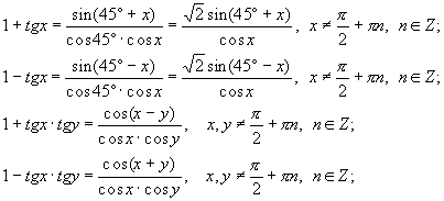
Продолжение