Квадратные уравнения
Квадратные уравнения достаточно подробно изучаются в школьном курсе математики. Поэтому мы ограничимся рассмотрением некоторых нетривиальных примеров уравнений с параметрами, связанных с вопросами расположения корней квадратного трехчлена, а также задачами на применение теоремы Виета.
Рекомендуем вначале просмотреть страницы из справочника:
Пример
2.1. Решить уравнение![]()
Решение:
В этом уравнении контрольным является значение а = 2. При а = 2|
уравнение (2) является линейным, а при |
|
оно квадратное. |
1) При
a = 2 уравнение принимает вид –4x + 1 = 0, решением которого будет x = 1/4.|
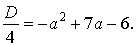
2) Вычислим дискриминант уравнения (2) при |
|
|
|
т.е. |
|
|
Из уравнения |
|
находим a = 1, a = 6. |
При этом,
|
если |
|
то D < 0 и уравнение не имеет корней, |
если
а = 1, то уравнение имеет два совпадающих корня х1 = х2 = -1;если
а = 6,то уравнение также имеет два совпадающих корня х1 = х2 = 3/2;|
если же |
|
то уравнение имеет два различных корня |
![]()
|
Ответ: 1) если, |
|
то корней нет; |
|||
|
2) если а = 2, то х = 1/4; |
|||||
|
3) если a = 1, то х1 = х2 = –1; если a = 6, то; х1 = х2 =3/2; |
|||||
|
4) если |
|
то |
|
||
Замечание
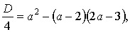
: Фактически в решении примера 2.1 получено решение следующей задачи:Найти все значения параметр а, квадратное уравнение
(a –
2)x2 – 2ax + 2a – 3 = 0а) имеет два различных корня;
б) не имеет корней;
в) имеет два равных корня.