Задания (повышенной трудности) для самостоятельной работы
Примеры 18 – 40 | Примеры 41 – 63 | Примеры 64 – 78 | Примеры 79 – 85
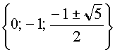
![]()
Методы решений уравнений и систем уравнений
|
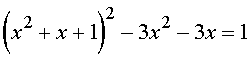
1. |
|
|
|
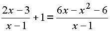
2. |
|
|
|
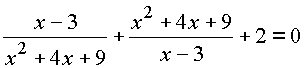
3. |
|
|
|
4. |
|
[ решения нет] |
|
5. |
|
|
|
6. |
|
|
|
7. |
|
|
|
8. |
|
|
|
9. |
|
|
|
10. |
|
|
|
11. |
|
|
|
12. |
|
|
|
13. |
|
|
|
14. |
|
|
|
15. |
|
|
|
16. |
|
|
|
17. |
|
|