Примеры 1 – 17 | Примеры 18 – 40 | Примеры 41 – 63 | Примеры 79 – 85
![]()
|
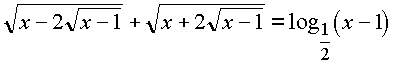
64. |
|
|
|
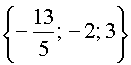
65. |
|
|
|
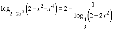
66. |
|
|
|
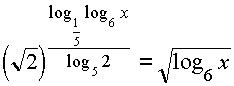
67. |
|
|
|
68. |
|
|
|
69. |
|
|
|
70. |
|
|
|
71. |
|
|
|
72. |
|
|
|
73. |
|
|
|
74. |
|
|
|
75. |
|
|
|
76. |
|
|
|
77. |
|
|
|
78. |
|
|