3.3. Несколько примеров применения метода интервалов

Введение

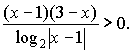
Пример 3.3.1

Пример 3.3.2

Пример 3.3.3

Упражнения

 Учебное пособие | Методы решений неравенств | Справочник

Internet-school | Школа "Абитуриент" | Наши адреса