2. Системы нелинейных уравнений
Охватить все случаи комбинации нелинейных уравнений не представляется возможным, поэтому рассмотрим лишь те случаи, которые представляются, на наш взгляд, наиболее типичными.
2.1. Системы двух уравнений, одно из которых квадратное, а другое – линейное
Эти системы, как правило, решаются методом подстановки одного из неизвестных (полученного из линейного уравнения) в квадратное уравнение и задача сводится к решению квадратного уравнения с одним неизвестным.
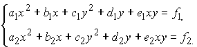
2.2. Системы двух уравнений второй степени с двумя неизвестными
Общий вид таких систем следующий
|
|
Самыми общими рекомендациями могут быть следующие:
1. Выразить одно из неизвестных любого уравнения (решить квадратное уравнение относительно одного из неизвестных) и подставить его в другое уравнение. В этом случае можем прийти к уравнению
четвертой степени либо к иррациональному уравнению, а эти оба случая сопряжены с большими техническими трудностями и неприятностями, возникающими при отслеживании решений большой совокупности систем уравнений.2. Упростить систему за счет выравнивания коэффициентов при старшей степени одного из неизвестных и дальнейшим избавлением от этих слагаемых (вычитанием уравнений, если коэффициенты одного знака, либо сложением уравнений, если коэффициенты имеют разные знаки). Полученное уравнение будет линейным относительно одного из неизвестных.
3. Если вид одного из двух уравнений позволяет выполнить замену переменных, то этим следует воспользоваться, т.к. другое уравнение с учетом результата замены переменных существенно упрощается и решается легко.
Рассмотрим несколько типичных случаев.
Пусть каждое из уравнений не содержит слагаемых с первыми степенями каждого из двух неизвестных, т.е. система имеет следующий вид
|
|
Рассмотрим случай, когда d
1= 0, d2= 0 (система двух однородных уравнений). Очевидными решениями таких систем является x1= 0, y1= 0. Однако могут быть и другие решения, отличные от нулевых. В этом случае, полагая, например,|
|
(либо |
|
делим обе части любого уравнения на x 2(либо на y2), получаем следующее |
||
|
уравнение
|
|||||
|
в котором достаточно сделать замену переменных |
|
чтобы прийти к решению |
|||
квадратного уравнения относительно новой переменной. Решив это уравнение, мы получим
соотношение между x и y, например, y=t
1x, y=t2x, где t1 и t2 – корни квадратного уравнения. Подставляя эти соотношения в другое уравнение системы, мы прейдем к решению лишь квадратных уравнений с одним неизвестным, а соответствующие значения другого неизвестного находятся из тех же соотношений (y= tx).