Задачи для самостоятельного решения
Пример 14 – 26 | Пример 27 – 39 | Пример 40 – 51 | Пример 52 – 57
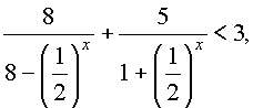
![]()
L
Решить неравенства:|
1. (КубГУ, матем., устн. экз.)
|
|
|
2. (КубГУ, матем., устн. экз.)
|
|
|
3. (КубГУ, матем., 1981 г.)
|
|
|
4. (КубГУ, матем., 1989 г.)
|
|
|
5. (КубГУ, матем., 1989 г.)
|
|
|
6. (КубГУ, матем., 1989 г.)
|
|
|
7. (КубГУ, матем., 1991 г.)
|
|
|
8. (КубГУ, матем., 1992 г.)
|
|
|
9. (КубГУ, матем., 1993 г.)
|
|
|
10. (КубГУ, матем., 1993 г.)
|
|
|
11. (КубГУ, матем., 1989 г.)
|
|
|
12. (КубГУ, матем., 1989 г.)
|
|
|
13. (КубГУ, эконом., 1988 г.)
|
|