Пример 1 – 13 | Пример 27 – 39 | Пример 40 – 51 | Пример 52 – 57
![]()
|
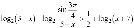
14. (КубГУ, эконом., 1988 г.)
|
|
|
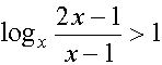
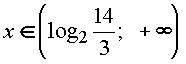
15. (КубГТУ)
|
|
|
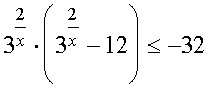
16. (КубГТУ)
|
|
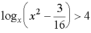
|
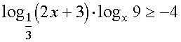
17.
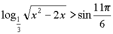
|
|
|
18.
|
|
|
19.
|
|
|
20.
|
|
|
21. (КубГУ, физич., 1988 г.)
|
|
|
22. (КубГУ, физич., 1988 г.)
|
|
|
23. (КубГУ, физич., 1993 г.)
|
|
|
24. (КубГУ, физич., 1993 г.)
|
|
|
25. (КубГУ, эконом., 1989 г.)
|
|
|
26. (КубГУ, эконом., 1989 г.)
|
|