Пример 1 – 13 | Пример 14 – 26 | Пример 27 – 39 | Пример 52 – 57
![]()
|
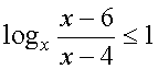
40. (КубГУ, ФПМ, 1992 г., предв. экз.)
|
|
|
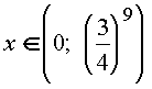
41. (КубГУ, ФПМ, 1994 г.)
|
|
|
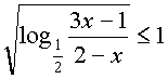
42. (КубГУ, матем., 1975 г.)
|
|
|
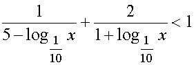
43. (КубГУ, матем., 1975 г.)
|
|
|
44. (КубГУ, матем., 1975 г.)
|
|
|
45. (КубГУ, матем., 1975 г.)
|
|
|
46. (КубГУ, матем., 1982 г.)
|
|
|
47. (КубГУ, матем., 1992 г.)
|
|
|
48. ( КубГУ, матем., 1992 г.)
|
|
|
49. (КубГУ, матем., 1988 г.)
|
|
|
50. (КубГУ, матем., 1988 г.)
|
|
|
51. (РГУ, мех. мат., 1994 г.)
|
|