Пример 1 – 13 | Пример 14 – 26 | Пример 27 – 39 | Пример 40 – 51
![]()
52. (КубГУ, физич., 1987 г.)
|
Доказать, что |
|
53. (КубГУ, физич., 1987 г.).
|
Доказать, что |
|
54. (КубГУ, ФПМ, 1974 г.)

Определить множество значений аргумента
x, при которых функция неположительна.
.
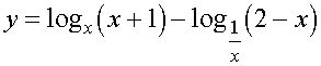
55. (КубГУ, ФПМ, 1974 г.)
![]()
Определить множество значений аргумента
x, при которых функция неотрицательна.
.
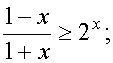
56. Решить неравенство и привести графическую интерпретацию:
|
1) |
|
10) |
|
|
2) |
|
11) |
|
|
3) |
|
12) |
|
|
4) |
|
13) |
|
|
5) |
|
14) |
|
|
6) |
|
15) |
|
|
7) |
|
16) |
|
|
8) |
|
17) |
|
|
9) |
|
18) |
|
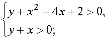
57. Изобразить на плоскости XOY множество точек
P(x,y), координаты которых удовлетворяют условию:|
1) |
|
7) |
|
||||
|
2) |
|
8) |
|
||||
|
3) |
|
9) |
|
||||
|
4) |
|
10) |
|
||||
|
5) |
|
11) |
|
||||
|
6) |
|
12) |
|
||||
J