Пример 1 – 13 | Пример 14 – 26 | Пример 40 – 51 | Пример 52 – 57
![]()
|
27. (КубГУ, эконом., 1991 г.)
|
|
|
28. (КубГУ, эконом., 1992 г.)
|
|
|
29. (КубГУ, эконом., 1993 г.)
|
|
|
30. (КубГУ, физич., 1986 г.)
|
|
|
31. (КубГУ, матем., 1973 г.)
|
|
|
32. (КубГУ, ФПМ, 1975 г.)
|
|
|
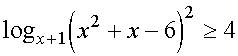
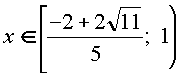
33. (КубГУ, ФПМ, 1975 г.)
|
|
|
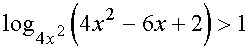
34. (КубГУ, ФПМ, 1987 г.)
|
|
|
35. (КубГУ, ФПМ, 1987 г.)
|
|
|
36. (КубГУ, ФПМ, 1987 г.)
|
|
|
37. (КубГУ, ФПМ, 1988 г.)
|
|
|
38. (КубГУ, ФПМ, 1988 г.)
|
|
|
39. (КубГУ, ФПМ, 1992 г., предв. экз.)
|
|