2.6. Показательные уравнения

 

Вступление

 

 

Пример 2.6.1

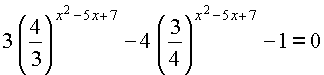
Пример 2.6.2

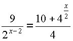
Пример 2.6.3

Пример 2.6.4

 

Упражнения

 

 Учебное пособие | Методы решений уравнений и систем уравнений

Internet-school | Школа "Абитуриент" | Наши адреса