Содержание пункта "Методы решений показательных и логарифмических неравенств"
Страницы справочника
Правила действия со степенями Формулы для преобразования логарифмических выражений
Показательная функция Логарифмическая функция
Простейшие показательные неравенства Простейшие логарифмические неравенства
 

@Решение логарифмических и показательных неравенств во многих случаях может быть сведено к решению следующих неравенств
 
 Решение нестрогих неравенств отличается от решения соответствующих строгих неравенств включением в множество всех решений множества корней соответствующих уравнений.

Более сложные неравенства сводятся к неравенствам указанного вида методами, аналогичными применяемым при решении показательных и логарифмических уравнений.

Решить неравенства
 
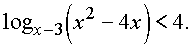
Пример 3.4.1
Пример 3.4.5
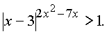
Пример 3.4.2
Пример 3.4.6
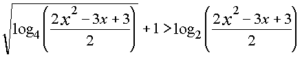
Пример 3.4.3
Пример 3.4.7
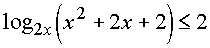
Пример 3.4.4
 
 
@ При решении неравенств вида
обычно следуют следующей схеме:
1. Находят ОДЗ неравенства, исходя из того, что на ОДЗ функции f(x) и g(x) определены и положительны
2. Логарифмируют неравенство, т.е. заменяют неравенство равносильным ему на ОДЗ при a > 0
неравенством
3. Решают полученное неравенство. Его решения и будут решениями исходного неравенства
@ При решении неравенств вида
обычно следуют схеме: 
1. Находят ОДЗ неравенства, исходя из того, что f(x), g(x), j (x),y (x) на ОДЗ определены, 
положительны и j (x)1,y (x)1
2. Переходят в логарифмах к некоторому основанию a, где a>0, a1т.е. заменяют неравенство 
 равносильным ему на ОДЗ неравенством
(Отметим, что ОДЗ последнего и исходного неравенств совпадают.)
3. Решают полученное неравенство. Его решения и будут решениями исходного неравенства.
Замечание: при решении нестрогого неравенства в множество всех решений строгого неравенства включаются множество корней соответствующего уравнения.

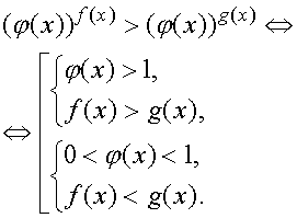
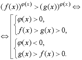
 Сформулируем ещё несколько утверждений, часто использующихся при решении неравенств:
 
 
Неравенство равносильно совокупности систем и уравнения: 

или  

или.

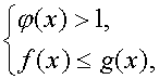
Неравенство равносильно совокупности систем и уравнения 

или  

или.

 

Пример 3.4.8
Пример 3.4.9
Пример 3.4.10
Пример 3.4.11
Пример 3.4.12
 
Упражнения | Краткий справочник по математике | Методы решения неравенств
Учебное пособие | Школа "Абитуриент"